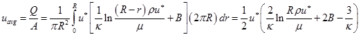
The average velocity
for this profile can be computed as,
![]() |
(5.5.3) |
Using the approximate values of
, the simplified relation for turbulent velocity profile is obtained as below;
![]() |
(5.5.4) |
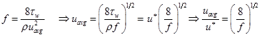
Recall the Darcy friction factor which relates the wall shear stress
and average velocity
;
![]() |
(5.5.5) |
Rearrange the first term appearing in RHS of Eq. (5.5.4)
![]() |
(5.5.6) |
Substituting Eqs. (5.5.5 & 5.5.6) in Eq. (5.5.4) and simplifying, one can get the following relation for friction factor for the turbulent pipe flow.
(5.5.7) |
Since, Eq. (5.5.7) is implicit in nature, it becomes cumbersome to obtain friction factor for a given Reynolds number. So, there are many alternative explicit approximations as given below;
![]() |
(5.5.8) |
Further, the maximum velocity in the turbulent pipe flow is obtained from (5.5.2) and is evaluated at
;
(5.5.9) |
Another correlation may be obtained by relating Eq. (5.5.9) with the average velocity (Eq. 5.5.3);
(5.5.10) |




