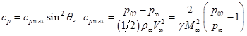
Modified Newtonian Theory
In order to predict the pressure distributions
over blunt shaped aerodynamic bodies, the Newtonian theory (Eq. 4.8.2) is modified by the following expression.
![]() |
(4.8.9) |
Here,
is the maximum value of pressure coefficient, evaluated at stagnation point behind the normal shock,
are the free stream values of static pressure, static density, Mach number, respectively and
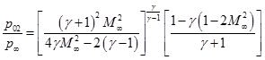
is the stagnation pressure behind the normal shock. From the normal shock relations, it is possible to obtain the pressure ratio appearing in Eq. (4.8.9) for calculation of
.
![]() |
|
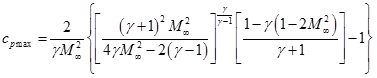
Substitute Eq. (4.8.10) in Eq. (4.8.9) to obtain
.
![]() |
|
The relation of
as a function of free stream Mach number and specific heat ration for the gas is plotted in Fig. 4.8.4.

Fig. 4.8.4: Variation of stagnation pressure coefficient as a function of free stream Mach number and specific heat ratio.
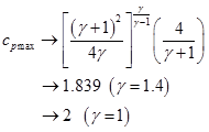
In the limit of
,
can be obtained as below;
![]() |
(4.8.12) |
The Eq. (4.8.9) with the
given by the expression in Eq. (4.8.12) is called as the modified Newtonian law . The following important observation may be made.
- The modified Newtonian law does not follow the Mach number independence principle.
When both
, the straight Newtonian law is recovered from modified theory.
The modified Newtonian theory is a very important tool to estimate the pressure coefficients in the stagnation regions in the hypersonic flow fields of the blunt bodies.



