Newtonian Theory for Hypersonic Flows
The hypersonic flows are highly nonlinear due to many physical phenomena leading to complexity in the mathematical formulation and its solution. One can get rid of the complex nature of aerodynamic theories with the simple approximation of inviscid flow to obtain the linear relationship. It is interesting to note that the invicid compressible flow theory for high Mach number flows, resemble the fundamental Newtonian law of classical mechanics.
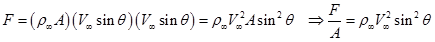
When a fluid as a stream of particles in rectilinear motion, strikes a plate, it loses all its momentum normal to the surface and moves tangentially to the surface without the loss of tangential momentum. This is known as the Newtonian impact theory as shown in Fig. 4.8.1(a). Let a fluid stream of density
strikes a surface of area A, with a velocity
. This surface is inclined at an angle θ with the free stream. By Newton's law, the time rate of change of momentum of this mass flux is equal to the force
exerted on the surface.
(4.8.1) |

Fig. 4.8.1: Newtonian impact theory and hypersonic flow over a wedge: (a) schematic representation of a jet striking a plate; (b) streamlines in a thin shock layer.
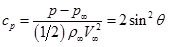
Since the motion is rectilinear and the individual particles do not interact with each other, the force per unit area, associated with the random motion may be interpreted as the difference in surface pressure
and the free stream pressure
. So, the Eq. (4.8.1) may be simplified in terms of pressure coefficient
.
(4.8.2) |
Now, let us analyze the hypersonic flow over a wedge with inclination angle θ as shown in Fig. 4.8.1(b). Both the upstream and downstream side of the shock wave, the streamlines are straight and parallel. But, the stream lines are deflected by an angle θ in the downstream. Since, the difference in the shock wave angle (β) and the flow deflection is very small at hypersonic speeds, it may be visualized as the upstream incoming flow impinging on the wedge surface and then running parallel to the wedge surface in the downstream. This phenomenon is analogous to Newtonian theory and Eq. (4.8.2) may be used for hypersonic flow as well to predict the surface pressures. It is known as the Newtonian Sine-Squared Law for hypersonic flow.