The results of Newtonian theory for the inviscid flow over a flat plate are plotted in Fig. 4.8.3 and the following important observations can be made;
- The value of lift-to-drag ratio increases monotonically when the inclination angle decreases. It is mainly due to the fact that the Newtonian theory does not account for skin friction drag in the calculation. When skin friction is added, the drag becomes a finite value at 00 inclination angle and the ratio approaches zero.
The lift curve reaches its peak value approximately at an angle of 550 . It is quite realistic, because most of the practical hypersonic vehicles get their maximum lift in this vicinity of angle of attack.
The lift curve at lower angle (0-150) shows the non-linear behavior. It is clearly the important characteristics feature of the hypersonic flows.

Fig. 4.8.3: Aerodynamic parameters for a flat plate inclined at an angle.
Mach number Independence Principle
Precisely, this principle states that certain aerodynamic quantities, such as pressure coefficient, lift and wave drag coefficients and flow-field structure (shock wave shapes and Mach wave patterns), become relatively independent on Mach number when its value is made sufficiently large. Let us justify this principle based on the following analysis;
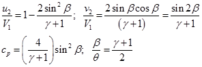
Oblique Shock Relations : Let us revisit the following oblique shock relations when approximated for hypersonic Mach numbers;
![]() |
(4.8.8) |
It may be observed here that the oblique shock relations turn down to simplified form in the regime of hypersonic Mach numbers. Eq. (4.8.8) does not bear the Mach number term and thus the flow field is also independent of Mach number. This is called as Mach number independence principle and valid for very high Mach number inviscid flows.
Newtonian Theory : The interesting feature of hypersonic flows, is the fact that certain aerodynamic parameters calculated from Newtonian theory, do not explicitly depend on the Mach number. Of course, these equations implicitly assume that the Mach numbers are high enough for hypersonic flows to prevail but its precise value do not enter into the calculations. In fact, the pressure and force coefficients expressed in Eqs (4.8.2- 4.8.7) do not contain the Mach number term. When extended to cylinder and sphere, the Newtonian theory predicts the drag coefficient of values as 1.33 and 1, respectively, irrespective of Mach number. This particular feature of hypersonic flow is known as Mach number independence and the Newtonian results are the consequence of this principle.
