......
Energy equation : Since the compression wave is thin, and the motion is very rapid, the heat transfer between the control volume and the surroundings may be neglected and the thermodynamic process can be treated as adiabatic . Steady flow energy equation can be used for energy balance across the wave.
![]() |
(4.2.3) |
Entropy equation : In order to decide the direction of thermodynamic process, one can apply
relation along with Eqs (4.2.2 & 4.2.3) across the compression wave.
(4.2.4) |
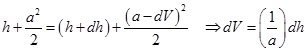
Thus, the flow is isentropic across the compression wave and this compression wave can now be called as sound wave. The speed of the sound wave can be computed by equating Eqs.(4.2.1 & 4.2.2).
![]() |
(4.2.5) |
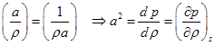
Further simplification of Eq. (4.2.5) is possible by evaluating the differential with the use of isenropic equation.
(4.2.6) |
Differentiate Eq. (4.2.6) and apply perfect gas equation
to obtain the expression for speed of sound. is obtained as below;
![]() |
(4.2.7) |
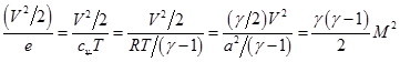
Mach number
It may be seen that the speed of sound is the thermodynamic property that varies from point to point. When there is a large relative speed between a body and the compressible fluid surrounds it, then the compressibility of the fluid greatly influences the flow properties. Ratio of the local speed
of the gas to the speed of sound
is called as local Mach number
.
(4.2.8) |
There are few physical meanings for Mach number;
(a) It shows the compressibility effect for a fluid i.e.
implies that fluid is incompressible.
(b) It can be shown that Mach number is proportional to the ratio of kinetic to internal energy.
![]() |
(4.2.9) |
(c) It is a measure of directed motion of a gas compared to the random thermal motion of the molecules.
(4.2.10) |



