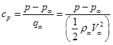
Pressure Coefficient
In general, pressure is a dimensional quantity. Many a times, it is expressed in a non-dimensional form with respect to free stream flow and the ‘pressure coefficient' is defined as follows;
![]() |
(3.7.5) |
Here,
are the free stream density and free stream velocity, respectively. The term
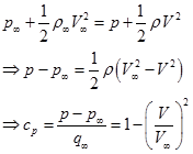
is called as dynamic pressure. For incompressible flow, if a body is immersed in the free stream, then Bernoulli's equation can be written at any arbitrary point in the flow field as,
![]() |
(3.7.6) |
On the surface of the cylinder
shown in Fig. 3.7.1, the velocity distribution can be obtained from Eq. (3.7.2) i.e.
|
(3.7.7) |

Fig. 3.7.2: Maximum velocity in the flow over a circular cylinder.

