Non-Lifting Flow over a Circular Cylinder
It is seen earlier that flow over a semi-infinite body can be simulated by combination of a uniform flow with a source and flow over an oval-shaped body can be constructed by superimposing a uniform flow and a source-sink pair. A circular cylinder is one of the basic geometrical shapes and the flow passing over it can be simulated by combination of a uniform flow and doublet. When the distance between source-sink pair approaches zero, the shape Rankine oval becomes more blunt and approaches a circular shape.
Consider the superposition of a uniform flow of velocity
and a doublet of strength
as shown in Fig. 3.7.1. The direction of the doublet is upstream, facing into uniform flow.

Fig. 3.7.1: Superposition of a uniform flow and doublet.
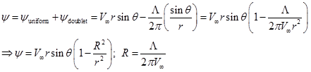
The stream function for the combined flow is,
![]() |
(3.7.1) |
The velocity field is obtained as,
![]() |
(3.7.2) |
In order to locate the stagnation point, assign the velocity components in Eq. (3.7.2) to zero value and simultaneously solve for
. There are two stagnation points, located at
and denoted by points A and B, respectively. The equation of streamlines that passes through the stagnation points A and B, is given by the following expression;
![]() |
(3.7.3) |


