Combination of a Uniform Flow with a Source-Sink Pair
The superposition of a uniform flow with a source results in the flow over the semi-infinite body ‘ABC' as shown in Fig. 3.6.1. This is a half-body that stretches to infinity in the downstream and the body is not closed. If a sink of equal strength is added to this flow in the downstream and equally spaced from origin as that of source, then the resulting shape will be closed. The resulting flow field is shown in Fig. 3.6.2.

Fig. 3.6.2: Superposition of uniform flow and a source-sink pair.
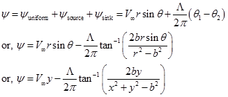
Let us consider a source and sink with strengths
equally spaced at a distance b from the origin. When a uniform stream of velocity
is superimposed on it, the combined flow at any point in the flow can be written as follow;
![]() |
(3.6.9) |
From the geometry of Fig. 3.6.2, it is seen that
are the functions of
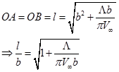
. Assigning the velocity components to zero value, two stagnation points can be obtained in similar manner and they are located at points ‘A and B' in the Fig. 3.6.2. Their distances from origin can also be calculated.
![]() |
(3.6.10) |
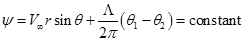
The equation of the streamline is given by,
(3.6.11) |

