·
The streamlines of the combined flow leads to the flow over a semi-infinite body and are obtained as,
(3.6.2) |
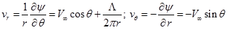
The velocity field is obtained from stream function through differentiation i.e.
(3.6.3) |
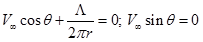
From the Fig. 3.6.1, it is clear that the flow becomes stagnant at some point because the velocity due to the source will cancel with that of uniform flow. Hence, a stagnation point is created which is obtained by assigning the velocity components to zero value in Eq. (3.6.3).
(3.6.4) |
Solving for
, the coordinates of stagnation point ‘B' is found out i.e.
and the distance
, directly upstream of the source. It may be observed that the point ‘B' will be blown further downstream, if source strength is increased keeping
same, and increasing
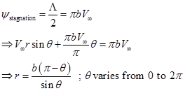
, keeping source strength same. When the coordinates of ‘B' is substituted in Eq.(3.6.1), the streamline ‘ABC' passing through the stagnation point is obtained i.e.
![]() |
(3.6.5) |
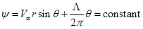
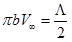
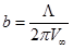
Since,
, it follows that the equation of the streamline passing through the stagnation point is obtained from Eq. (3.6.1) as follows;
![]() |
(3.6.6) |

