The streamline ‘ABC' following the equation (3.6.6) is shown in Fig. 3.6.1. The following important observations can be made from the figure;
- • The streamline ‘ABC' contains the stagnation point at ‘B' and separates the flow coming from the free stream and fluid emanating from source. All the fluid outside ‘ABC' are from the free stream while the fluid inside ‘ABC' are from the source. Hence, the singularity in the flow field (i.e. source) occurs inside the body whereas there is no singularity in the free stream (outside ‘ABC').
• In inviscid flow, the velocity at the surface of the solid body is tangent to the body. So, any streamline of this combined flow field can be replaced by a solid surface of same shape. Hence, with respect to free stream, the flow would not feel the difference if the streamline ‘ABC' is replaced with a solid body. The streamline
extends downstream to infinity, forming a semi-infinite body and is called as ‘Rankine Half-Body”.
• Referring to Eq. (3.6.6), it is seen that the width of the half body
asymptotically approaches to
while the half-width is given by
when
.
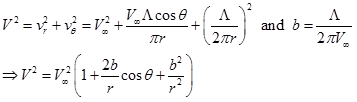
• For the half-body shown in Fig. 3.6.1, the magnitude of velocity at any point is given by the following equation;
![]() |
(3.6.7) |
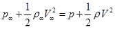
Using the Bernoulli's equation, the pressure any arbitrary point on the half-body can be obtained with the knowledge of free stream pressure
and velocity
.
(3.6.8) |
Here, the elevation change is neglected.
