·
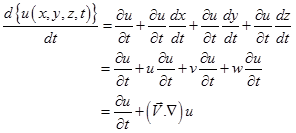
For instance, the scalar time derivative of u is expressed as,
![]() |
(3.1.3) |
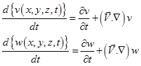
When u is replaced with v and w in the above equation, then the corresponding expressions would be,
![]() |
(3.1.4) |
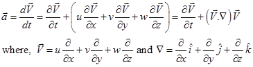
Now, summing them into a vector quantity, one may write Eq. (3.1.2) in compact form as,
![]() |
(3.1.5) |
In the above equation,
is called as “local acceleration” and the second part i.e.
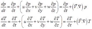
is called a “convective acceleration”. The total time derivative is called as “substantial/material” derivative. This field concept can be applied to any variable (vector or scalar). For example, one may write the total derivative for pressure and temperature field as,
![]() |
(3.1.6) |



