Module 3 : INVISCID INCOMPRESSIBLE FLOW

Lecture 1 : Fundamental Aspects

 

In general, fluids have a well-known tendency to move or flow. The slight change in shear stress or appropriate imbalance in normal stresses will cause fluid motion. Fluid kinematics deals with various aspects of fluid motion without concerning the actual force that causes the fluid motion. In this particular section, we shall consider the ‘field' concept to define velocity/ acceleration of fluid by virtue of its motion. In the later part, some ‘visualization' concepts are introduced to define the motion of the fluid qualitatively as well as quantitatively.

There are two general approaches in analyzing the fluid motion. In the first method (Lagrangian approach), the individual fluid particles are considered and their properties are studied as a function of time. In the second method (Eulerian approach), the ‘field' concept is introduced and the properties are completely prescribed as the functions of space and time. In other words, the attention is focused at fixed points in space as the fluid passes those points.

 

Velocity and Acceleration Field

Since the ‘continuum' assumption holds well for fluids, the description of any fluid property (such as density, pressure, velocity, acceleration etc.) can be expressed as a function of location. These representation as a function of spatial coordinates is called as “field representation” of the flow. One of the most important fluid variables is the velocity field. It is a vector function of position and time with components u, v and w as scalar variables i.e.

(3.1.1)

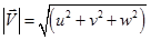
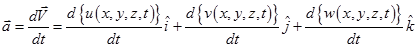
The magnitude of the velocity vector i.e. , is the speed of fluid. The total time derivative of the velocity vector is the acceleration vector field of the flow which is given as,

(3.1.2)