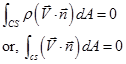
- Again considering a fixed control volume, further simplification is possible if the fluid is treated as incompressible i.e. density variation that are negligible during the course of its motion. In fact, it is quite true for liquids in general practice while for gases, the condition is restricted up to gas velocity less than 30% of the speed of sound. It leads to the simplification of Eq. (2.2.9) where
and the density term can come out of the surface integral.
![]() |
|
- If the inlets and outlets are approximated as one-dimensional, then Eq. (2.2.13) becomes,
![]() |
(2.2.14) |
where,
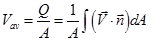
is the volume flow passing through the given cross section. Again, if the cross-sectional area is not one-dimensional, the volume flow rate can be obtained as,
(2.2.15) |
In this way, the average velocity Vav can be defined such that, when multiplied by the section area, the volume flow rate can be obtained.
(2.2.16) |
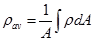
This is also called as the volume-average velocity. If the density varies across any section, the average density in the same manner.
(2.2.17) |
Since, the mass flow is rate the product of density and velocity, and the average product
will take the product of the averages of
.
(2.2.18) |

