·
Corollary of Reynolds Transport Theorem
The relation between the system rates of change, control volume surface and volume integrals can be established through the Reynolds Transport Theorem (RTT). There are different ways by which RTT is specified. Let us explore them here.
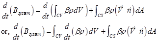
1. The generalized expression of RTT for a fixed control volume with an arbitrary flow pattern is given by,
![]() |
|
Here,
is the any property of the system, β is the corresponding intensive property, ρ is the density of the fluid,
is the velocity vector of the fluid and
is the unit normal vector outwards to the area dA. The left hand side term of Eq. (2.2.3) is the time rate of change of any system property B. The first term in the right hand side of Eq. (2.2.1) is the change of same property B within the control volume while the second term is the change of flux of B passing through the control surface.
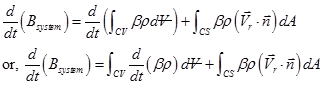
2. If the control volume moves uniformly at a velocity
, then an observer fixed to this control volume will note a relative velocity
of the fluid crossing the surface. It may be noted that both
must have the same coordinate system. The expression for RTT can be represented by the following equation.
![]() |
|
When,
, the above equation reduces to Eq. (2.2.3).
3. Consider the most general situation when the control volume is moving and deforming as well. It means the volume integral in Eq. (2.2.4) must allow the volume elements to distort with time. So, the time derivative must be applied after the integration. So, the RTT takes the form as given below.
(2.2.5) |
4. Many fluid flow problems involve the boundaries of control surface as few inlets and exits (denoted by i) so that flow field is approximately one-dimensional. Moreover, the flow properties are nearly uniform over the cross section of inlet of exits. So, Eq. (2.2.5) reduces to,
(2.2.6) |

