Conservation of Mass
The mathematical form of mass conservation applied to a system is written as,
(2.2.7) |
- In order to apply RTT for mass conservation, substitute the system property as mass of the system i.e.
so that
. Then Eq. (2.2.5) can be applied to obtain the integral mass conservation law for a generalized deformable control volume.
(2.2.8) |
- In the case of fixed control volume, Eq. (2.2.8) reduces to,
(2.2.9) |
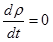
- If the control volume has only of one-dimensional inlets and outlets, then one can write Eq. (2.2.9) as,
(2.2.10) |
- If the flow within the control volume is steady with one-dimensional inlets and outlets, then
and Eq. (2.2.9 & 2.2.10) reduces to,
![]() |
|
Eq. (2.2.11) states that the mass flows entering and leaving the control volume for a steady flow balance exactly and called as continuity equation.
- If inlet and outlet are not one-dimensional, one has to compute the mass flow rate by integration over the section.
(2.2.12) |
