Reynolds Transport Theorem (RTT)
The basic physical laws can be applied to flow field to relate various flow properties. The flow domains are generally specified through Eulerian or Lagrangian approach. Moreover, the flow variables are generally specified as functions of space and time (Eulerian description), while the basic laws are applicable to a closed system of particles. The Reynolds Transport Theorem (RTT) relates the information of control volume to the system of particles.

Fig. 2.2.1: Illustration of Reynolds Transport Theorem (RTT).
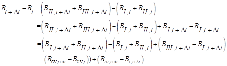
Consider a control volume (CV) at certain time t which is coinciding with the closed mass system (CMS) as shown in Fig. 2.2.1. The CV is bounded by a control surface (CS) a-c-b-d. After a certain time interval Δt, the CMS moves to a new position shown as a-c1-b-d1. During this time interval, the outside fluid enters the control volume through the surface a-c-b and leaves through the surface b-d-a. There are three different regions I, II and III in the Fig. 2.2.1. If B is any fluid property and β is its corresponding intensive property, then, the net change in the property during the time Δt is given by,
![]() |
|
In Eq. (2.1.10), divide both sides by Δt and take the limits
.
![]() |
|
where,
is the velocity of fluid with respect to CV, ρ is the density and
is the differential volume and
is the differential area vector. Thus, in words, RTT can be stated as, net rate of change of the total property of the control mass system is equal to the sum of the net rate of change of the total property of the coinciding control volume and net rate of total property efflux out of the control surface .

