PROBLEM 5: A sector gate of radius 4m and length 5m, controls the flow of water in a horizontal channel. For the equilibrium conditions shown in figure .Determine the total thrust on the gate?

SOLUTION 5:
Since the curved surface of the gate is part of a cylinder, the water exerts no thrust along its length, so we consider the horizontal and vertical components in the plane of the diagram.
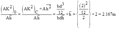
The horizontal components in the thrust that would be exerted by the water on a vertical projection of the curved surface .The depth‘d' of this projection is 4sin300m = 2m and its centroid is
below the free surface. Therefore horizontal force and its line of action pass through the centre of pressure of the vertical projection, that is, at a distance
Below the free surface, given by

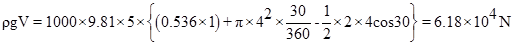
The vertical component of the total thrust=weight of imaginary water ABC.
AB= (4-4cos30)m=0.536m
Vertical force
![]()
The centre of gravity of the imaginary fluid ABC may be found by taking moments about BC. It is 0.237m to the left of BC.
The horizontal and vertical components are co-planar and therefore combine to give a single resultant force of magnitude
at an angle
Arc tan (61800/196200)
to the horizontal.
Let us consider an element of the area of the gate subtending a small angle δθ at O. then the thrust on this element =ρghδA and the horizontal components of this thrust
, where θ the angle between the horizontal is and the radius to the element. Now
m
And
,
So the total horizontal component is

The vertical component of the thrust on an element is ρghδAsinθ
and the total vertical component is

Since all the elemental thrusts are perpendicular to the surface their lines of action all pass through O and that of the resultant force therefore also passes through O.