·
SOLVED PROBLEMS
PROBLEM 1: Because of a leak in a lucried gasoline storage tank, water has seeped into the depth as shown in figure. The specific gravity of the gasoline is S.G=0.68.Determine the pressure at the gasoline-water interface and at the bottom of the tank. Express the pressure in units of
,
and as a pressure head in meters of water?

SOLUTION:
Since we are dealing with liquids at rest, the pressure distribution will be hydrostatic, and therefore the pressure variation can be found from the equation
![]()
With p0 corresponding to the pressure at the free surface of the gasoline, then the pressure at the interface is
![]()
If we measure the pressure relative to atmospheric pressure (gauge pressure), then p0 = 0, and hence
![]()

It is noted that a rectangular column of water 3.4m tall and 1m2 in cross section weighs 33.32 kN.
A similar column with a 1mm2 cross section weighs 0.033N.
We can now apply the same relationship to determine the pressure at the tank bottom, that is ![]()

And,

PROBLEM 2: A spherical balloon of diameter 1.75m and total mass 1.4 kg is released in the atmosphere. Assuming that the balloon does not expand and that the temperature lapse rate in the atmosphere is
. Determine the height above sea-level to which the balloon will rise. Atmospheric temperature and pressure at sea-level are 15°C and 101 KPa respectively, for air
![]()
SOLUTION:
Density of balloon= 
Therefore, Balloon rises until atmospheric density ![]()
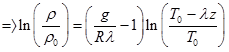
Now, we know
…………………………………… (1)
Since, ![]()
l 
…………………………………… (2)
Again, ![]()
From (2) , ![]()
Therefore solving we get,
Z = 839.986m