PROBLEM 3: A cylindrical tank 3m diameter and 6m long, with its axis horizontal, is half filled with water and half filled with oil of density 880Kgm-3. Determine the magnitude and position of the net hydrostatic force on one end of the tank?

SOLUTION :
We assume that the tank is only just filled,that is,the pressure in the fluids is due only to their weights and thus the (gauge) pressure at top is zero.Since two immiscible fluids are involved. We must consider each separately. In equilibrium conditions the oil covers the upper semicircular half of the end wall.
Since the centroid of a semicircle of radius ‘a' is on the central radius and
from the bounding diameter,the centroid C0 of the upper semicircle is the above the centre of the tank,that is (1-0.637)m=0.363m from the top.
The pressure of the oil at this point is
![]()
And thus the force exerted by the oil on the upper half of the wall
![]()
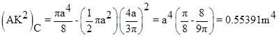
We know that the centre of pressure is
below the centroid. Now AK2 about the boundary diameter
.So by parallel axis theorem, for a horizontal axis through C0,

Therefore the centre of pressure p0 is
m below the centroid
i.e (0.363+0.05691) = 0.41991m below the top
For the lower semicircle, in contact with water, the centroid CN is 0.637m below the central diameter. The pressure here is that due to 1m of oil together with 0.637m of water
i.e. ![]()
Thus the force on the lower semicircle is ![]()
is again
but we must be very careful in calculating
since there is not a single fluid between this centroid and the zero pressure position. However, the conditions in the water are the same as if the pressure at the oil-water interface
were produced instead by 0.88m of water
. In that case the vertical distance from the centroid CN to the zero pressure position would be (0.637m+0.88m) =1.517m
Therefore, centre of pressure PN for lower semicircle is

Below the centroid CN
That is (1.5+0.637+0.10336) m=2.24036m below the top of cylinder.
The total force on the circular end is (11.069+63.659) =74.728KN acting horizontally ![]()
Its position may be determined by taking moments
Where, x=distance of line of action of total force from top of cylinder
Solving for x, we get x=1.9707m
By symmetry, the centre of pressure is on the vertical diameter of the circle.