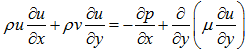
The same in the dimensional form is,

This is X-momentum is valid for high Reynolds number flows having thin boundary later at the wall.
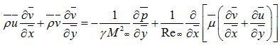
Consider the Y momentum equation in non dimensional form given by Eq. (20.7);

Lets do the order of magnitude analysis of this equation.

Here all the terms are of very small magnitude
except the term of pressure gradient if
is of unity order of magnitude. Hence that term should also have very small order of magnitude. It implies that
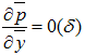
. Therefore, from Y-momentum equation given by Eq. 20.7 gets transformed for the boundary layer theory as;

This equation clearly states that pressure at a particular X location does not change with Y- coordinate such that the gradient of pressure remains zero in the boundary layer. Therefore the pressure is only function of X co-ordinate,
, where
is the pressure distribution outside the boundary layer. However if freestream Mach number,
, is very large so as to have
. In such cases, the pressure gradient in normal direction can be large and still satisfy the Y-momentum equation. Hence for large Mach numbers,
might be large enough to be expressed as 0(1). Hence pressure is not constant in the direction normal to the wall for hypersonic flows.