Module 5 : Hypersonic Boundary Layer theory

Lecture 22 : Order of magnitude estimate

22.1 Boundary conditions
An important difference between inviscid and viscous flows can be seen explicitly in the boundary conditions at the wall. The usual boundary condition for an inviscid flow is no mass transfer through the wall which mathematically gets expressed as the normal component of velocity to be zero at the wall. This boundary condition is termed as “free slip along the wall”. This boundary condition gets added with the cancellation of tangential velocity at the wall due to the existence of friction. This boundary condition is termed as “no slip along the wall”. Therefore both the components of velocity become zero for viscous wall boundary condition, that is,

Wall boundary condition:       u=v=0
If there is mass transfer at the wall, then we have to express the normal velocity at the wall as per the know mass flow rate, however tangential component of velocity will still remain zero at the wall.
There are two types of boundary conditions related with the energy equation. In one of them, wall is treated with isothermal wall temperature where the known temperature is assigned at the wall as,
Constant wall temperature boundary condition:    T=Tw

Here Tw  is the specified wall temperature. For non uniform temperature distribution along the surface we have,
Variable wall temperature boundary condition:  T=Tw(s)
here Tw(s) is the specified wall temperature variation as a function of distance along the surface (s). This boundary condition is very much suitable for high conductivity wall materials so as to keep the wall at known constant temperature variation.

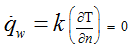
However in case of insulators, where thermal conductivity is very low, the wall temperature usually remains unknown. In such cases, wall heat flux is treated as zero or wall is treated as adiabatic wall. The mathematical representation of this boundary condition is,
Adiabatic wall boundary condition:              

Here  is the wall heat flux. Moreover in some cased wall heat flux distribution can be apriorily known.  Therefore  or the wall heat transfer rate should be specified as the boundary condition. This wall heat flux is dependent on temperature gradient normal to the wall in the gas immediately above the wall.