From the above equation it is clear that
must be of an order of magnitude equal to the local boundary layer thickness,
, i.e.
=O(
).
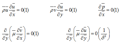
We know the non-dimensional form of X-momentum Eq. (20.6). Consider the order of magnitude form of each term as,

Thus the order of magnitude equation for X momentum can be written as,

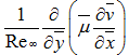
Lets assume that the Reynolds number is large. Therefore the term with Reynolds number in the denominator is of small magnitude which can be mathematically mentioned as,

Therefore the above equation now becomes;

It is clear from this figure that product of
has very low order of magnitude in comparison with the rest of the terms in the same equation. This term actually is
in X momentum equation (Eq. 20.6). Since this term is very small in magnitude we can neglect it. Therefore the non-dimensional X-momentum equation can now be written as,
