22.2 Application to boundary layer flow
Consider the boundary layer along a flat plate of length c as shown in Fig. 22.1.

Fig. 22.1 Hypersonic flow over flat plate.
A thin layer of fluid is assumed to be decelerated in the presence of the wall. This assumption leads to the mathematical expression
. Here
is the local boundary layer thickness. Apart from this, for hypersonic flow, we can also assume that, that are;
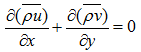
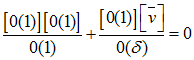
Now consider the Continuity Equation in Non Dimensional form;

Here
varies from 0 at the wall to 1 at the edge of the boundary layer. Therefore we can consider that
has order of magnitude equal to 1. It is mathematically represented as O(1). On similar lines, we can as well mention for density as,
= O(1). Actually the x-coordinate of all the points in the fluid domain vary from 0 to c which is length of the plate. Therefore the non-dimensional x length scale can be represented as
=O(1). However the y co-ordinate of all the points at a particular x-location varies from 0 to
where
is the local boundary layer thickness. Hence the non-dimensional length scale
is smaller magnitude in comparison with other length scales. This can be represented as
=O(
). For unit flat plate length, we have
=O(
). Therefore from the continuity equation in terms of order of magnitude is,
