Diffraction
Print this page
First   |   Last   |   Prev   |   Next

              

An intensity pattern as shown in fig. 3. is observed on screen

Analysis of Diffraction pattern due to single slit

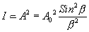
The intensity on the screen for diffraction due to single slit is

                 where .

The intensity will be minimum (or zero) when

          or            m=1,2,.......................................

          or                

First   |   Last   |   Prev   |   Next