Print this page
First   |   Last   |   Prev   |   Next
                   

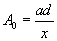
 where     

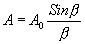
The resultant wave reaching at P , is therefore, a simple harmonic one. The amplitude of this varies as position P is varied ( varies). The resultant amplitude is given by

               

Where    

The intensity of light at any point on screen is, thus given by

First   |   Last   |   Prev   |   Next