Diffraction
Print this page
First   |   Last   |   Prev   |   Next

   Now for equation

                      

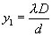
Width of central maxima

This is the extent to which the light is distributed before diminishing first time. For a given D, ( ). 2y1 varies as . Further for a given , y is small if 'd' is large and vice versa. Also if 'd' is fixed, y is small if is small.

First   |   Last   |   Prev   |   Next