Diffraction
Print this page
First   |   Last   |   Prev   |   Next

                                         

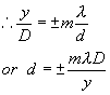
If slit is far from the screen, is small such that where y is distance of point P from center point P0

and D is distance between slit and screen.

                      

Thus knowing m(order of minima), , D and y (separation of m'th minima from principal maxima ) the slit width 'd' can be determined.

First   |   Last   |   Prev   |   Next