|
If and are discrete random variables, we can define the joint characteristic function in terms of the joint probability mass function as follows:
Properties of the Joint Characteristic Function
The joint characteristic function has properties similar to the properties of the chacteristic function of a single random variable. We can easily establish the following properties:
1.
2.
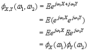
3. If and are independent random variables, then
|