Jointly Gaussian Random variables                                                                                              Print this page
<< Previous |  First |  Last |  Next >>       

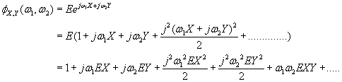
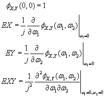
     4. We have,

                            
   Hence,
                        

 

<< Previous |  First |   Last |  Next >>