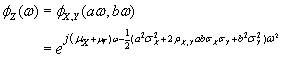
|
If and are jointly Gaussian, then

which is the characteristic function of a Gaussian random variable with
mean and variance 
Thus the linear transformation of two Gaussian random variables is a Gaussian random variable.
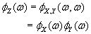
Example 4 If Z = X + Y and X and Y are independent, then

Using the property of the Fourier transform, we get

which proves the result in lecture 20. |