Jointly Gaussian Random variables                                                                                              Print this page
<< Previous |  First |  Last |  Next >>       

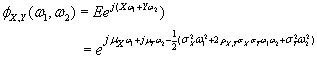
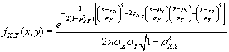
     If and are jointly Gaussian,

                                         

    we can similarly show that

                             

    We can use the joint characteristic functions to simplify the probabilistic analysis as illustrated on next page:

   Example 3 Linear transformation of two random variables

   Suppose then

                          

 

<< Previous |  First |   Last |  Next >>