Jointly Gaussian Random variables                                                                                              Print this page
<< Previous |  First |  Last |  Next >>       


    In general, the order joint moment is given by

                            

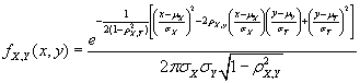
    Example 2 The joint characteristic function of the jointly Gaussian random variables and with the joint pdf

                            


    Let us recall the characteristic function of a Gaussian random variable

                                                

<< Previous |  First |   Last |  Next >>