|
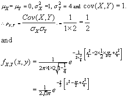
Example 1 Suppose X and Y are two jointly-Gaussian 0-mean random variables with variances of 1 and 4 respectively and a covariance of 1. Find the joint PDF 
We have 
Joint Characteristic Functions of Two Random Variables
The joint characteristic function of two random variables X and Y is defined by
If and are jointly continuous random variables, then

Note that is same as the two-dimensional Fourier transform with the basis function instead of
is related to the joint characteristic function by the Fourier inversion formula
|