|
Similarly, 
Thus and are both Gaussian, but not jointly Gaussian.
(3) If and are jointly Gaussian, then for any constants and ,the random variable given by is Gaussian with mean and variance 
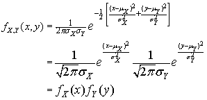
(4) Two jointly Gaussian RVs and are independent if and only if and are uncorrelated .Observe that if and are uncorrelated, then

|