|
in the above,
we assumed to have three roots. In general, if has n roots, then
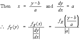
Example 3 Probability density function of a linear function of a random variable
Suppose 

Example 4 Probability density function of the output of a full-wave rectifier

has two solutions and and at each solution point. |