Functions of Random Variables                                                                                                      Print this page
<< Previous |  First |  Last |  Next >>       


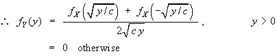
Example 5 Probability density function of the output of a square-law device

                    
               
           and   

        so that
       

<< Previous |  First |  Last |  Next >>