|
Functions of Random Variables
Often we
have to consider random variables which are functions of other random variables. Let be a random variable and is a function. Then is a random variable. We are interested to find the pdf of .
For example, suppose represents the random voltage input to a full-wave rectifier. Then the rectifier output is given by .
We have to find the probability description of the random variable . We consider the following cases:
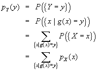
(a) is a discrete random variable with probability mass function .
The probability mass function of is given by
 |