Functions of Random Variables                                                                                                      Print this page
<< Previous |  First |  Last |  Next >>       

 
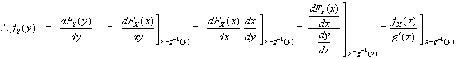
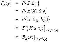
(b) Xis a continuous random variable with probability density function and is one-to-one and 
      monotonically increasing.
              The probability mass function of is given by
                   
                   
                  

<< Previous |  First |  Last |  Next >>