|
Proof:
Consider the plot of . Suppose
at a point ,
we have three distinct roots as shown.
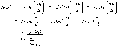
consider the event .
This event will be equivalent to union of events


Where the negative sign in
is used to account for positive probability.
Therefore, dividing by dy and
taking the limit, we get
 |