2.2.3 Existence of MVUE
The MVUE is the most desired estimator in any case but they do not exist always. Figure 2.1 depicts two possible situation for the variance var(
) of an unbiased estimator
for the parameter θ. Let there be only three unbiased estimators that exist and whose variances are shown in Figure 2.1(a), then clearly
is the MVUE. If the situation shown in Figure 2.1(b) exists, then there is no MVUE since for θ > θo,
is better while for θ < θo,
is better. In the former case
is some times referred to as uniformally minimum variance unbiased estimator to emphasized the fact that it has the smallest variance for all θ. In general the MVUE does not always exist.

Figure 2.1: Possible dependence of estimator variance with parameter θ
2.2.4 Example
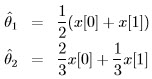
In this we present a counterexample to the existence of the MVUE. If the form of the data PDF changes with the parameter θ, then it would be expected that the best estimator would also change with θ. Assume that we have two independent observations x[0] and x[1] with PDF:

Consider two estimators,

It can be easily shown that they are unbiased estimators and to compute their variances we have

so that

and

For θ ≤ 0 the minimum possible variance of an unbiased estimator is 18∕36, while that for θ < 0 is 24∕36. Clearly between these two estimators no MVU estimator exists.

Figure 2.2: Illustration of non-existence of MVU estimator
As shown in Figure 2.2, for θ ≥ 0 the minimum possible variance of an unbiased estimator is 18∕36, while that for θ < 0 is 28∕36. Clearly none of these two estimators could be the MVUE.