2.2.1 Minimum Variance Unbiased Estimator (MVUE)
The MVUE is an optimal estimator. The two attributes of this optimal estimator are:
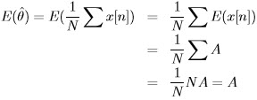
- It should be unbiased:
where [a,b] is the range of interest of the parameter to be estimated.
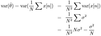
This ensures that the estimator produces, in an average sense, the true value of the parameter to be estimated. - It should have minimum variance:
This ensures that the estimator, in expected sense, deviates from the true value of the parameter minimally among all possible unbiased estimators for the problem.



estimator is turned out as a unbiased and having a variance var(
. But it is not ovbious whether it is MVUE or not. If
would have their variance as var(