Differential scanning calorimetry:
Effect of heating rate:
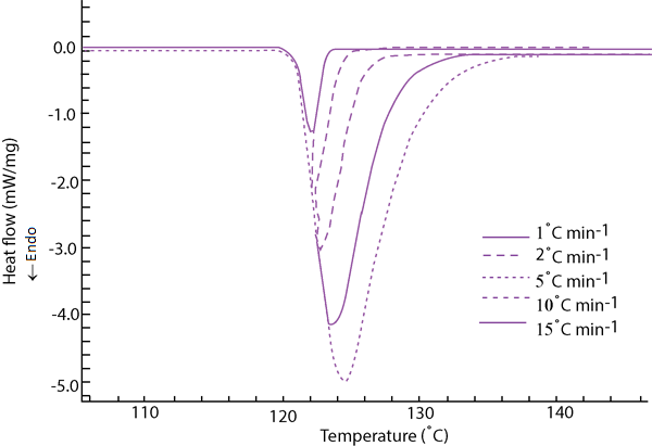
Heating rate affects the melting point and enthalpy of melting. Figure 22.03 shows the typical DSC curves taken at different heating rate.
With increasing heating rate, the onset of the melting does not change significantly, but the peak point of melting shifts slowly to higher temperature.

Figure 22.03: Typical DSC curves taken at different heating rates.