4.4 Crocco’s Theorem
Crocco's theorem gives the relation between the thermodynamics and fluid kinematics. Consider an element of fluid in the flow field subjected to translational and rotational motion. Let the translational motion be given by velcoity V and rotational motion be denoted by the angular velocity ω. The curl of the velocity field, i.e.
, at any point is a measure of the rotation of a fluid element at that point. The quantity
is the vorticity of the fluid which is equal to twice the angular velocity. For the inviscid flow with no body forces, the momentum equation expressed in Equation (3.25) reduces to
|
(4.17) |
or,
|
(4.18) |
From first and second law of thermodynamics, we know,
|
(4.19) |
Combining Equations (4.18) and (4.19), we get
![]()
or,
|
(4.20) |
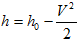
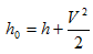
Introducing the total enthalpy, which is expressed as
![]()
or,
![]()
or,
![]()
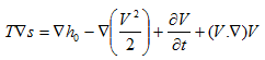
Substituting above equation into equation (4.20) we get

or,
|
(4.21) |
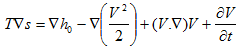
Using the vector identity
|
(4.22) |
Equation (4.21) becomes
|
(4.23) |
This equation is called Crocco’s theorem. For the steady flow this equation becomes
![]()
or,
|
(4.24) |
or V x Vorticity = Total enthalpy gradient - Gradient of entropy
This form of Crocco’s theorem has an important physical interpretation for the presence of vorticity behind the bow shock due to entropy gradient.

