4.3 Conservation of Energy (Differential Form)
As the control volume is fixed, the time derivative in this equation (4.9) can be taken inside the integral. Hence, this equation can be written as
|
(4.11) |
Applying the divergence theorem to the surface integrals given in the above equation, we get
|
(4.12) |
and
|
(4.13) |
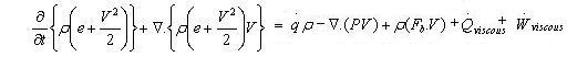
Substituting Equations (4.12) and (4.13) in Equation (4.11) we get,

or
|
(4.14) |
where
and
give the representation of viscous work and heat transfer. We know that,
or,
(4.15) |
This is the energy equation in differential form. This equation can also be written as,
(4.16) |
This is the form of energy equation written in terms of the substantial derivative.


