Now,
|
(5.207) |
or
|
(5.208) |
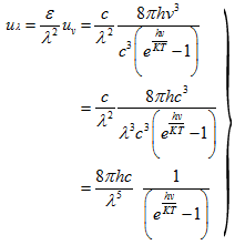
Also
|
(5.209) |
or
|
(5.210)
(5.211) |
Equation (5.211) are known as Plank’s law of thermal radiation in terms of frequency and wave-length respectively.
When
,Eq. (5.211) reduces to:
|
(5.212) |
This is known as Rayleigh-Jeans formula.
When
, Eq. (5.211) becomes
|
(5.213) |
This is known as Wien’s law.
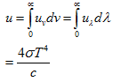
Again
|
(5.214) |
where
|
(5.215) |
The Eq. (5.214) is known as the Stefan-Boltzman law and σ is called the Stefan-Boltzman constant.


