Principle of Equipartition of Energy
The energy ε of a particle is a function of all the coordinates of the cell in phase space in which it is located. Let z represent any arbitrary coordinate and εz, the energy associated with that coordinate.
|
(5.185) |
To get the distribution in z-coordinate, we will integrate the equation over all the coordinates except z.
|
(5.186) |
where C is a constant
|
(5.187) |
Let
= mean energy of a single particle associated with coordinate z
|
(5.188) |
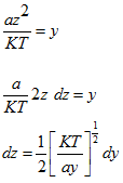
If εz is a quadratic function of z, i.e.εz= az2, where a is a constant,
|
(5.189) |
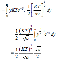
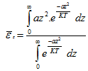
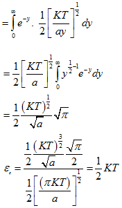
Let

Numerator

Denominator
|
(5.190) |
If the energy associated with a particular coordinate is a quadratic function of that coordinate, the average energy of a particle is
.This is the principal of equipartition of energy.




