Statistics of a Photon Gas
Thermal radiation can be considered to be a photon gas consisting of photons which have no rest mass, but posseses momenta. The number of photons though treated as particles are not conserved. The total energy of photon is however constant. There is no restriction on the number of photons occupying the same quantum number or a compartment in a cell of phase space. Thus, the photons follow the Bose-Einstein, the thermodynamics probability of which is given by:
![]()
The condition of the maximum thermodynamic probability gives
|
(5.191) |
Subject to the constraint of total energy of photons (and not the number), i.e.
|
(5.192) |
Multiplying the above equation by –β and adding to the earlier equation:
|
(5.193) |
Since
’s are independent,
|
(5.194)
(5.195) |
where
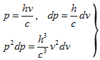
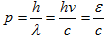
. The energy of a photon of frequency v is
|
(5.196) |
and its momentum is
|
(5.197) |
where c is velocity of light. Since light can be both right-handed and left-handed polarized photons, the degenarcy gi of energy level εi is
|
(5.198) |
Substituting d6N for Ni in Eq. (19.80), putting ![]()
|
(5.199) |
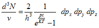
Integrating the equation over x, y and z, we get the distribution of photons in momentum space,
|
(5.200) |
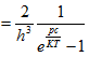
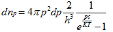
The density of photon in momentum space is

The number of photon in the thin spherical strip of thickness dp is
|
(5.201) |
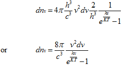
which represents the number of photons whose momenta lie between p and p+dp. To express the distribution in terms of frequency,
|
(5.202) |
substituting in Eq.(19.82),
|
(5.203) |
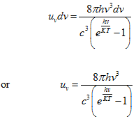
The energy density within a frequency range dv is:
|
(5.204) |
where uv is the energy per unit volume at the frequency v. Again,
|
(5.205)
(5.206) |






