Partition Function (z)
Both B-E and F-D statistics reduce to M-B statistics for Ni << gi. Gases follow M-B statistics except at cryogenic temperatures. The M-B distribution law for gases at equilibrium is
|
(5.143) |
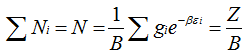
For all the cells,
|
(5.144) |
The parameter,
is called Partition Function or sum of state. This is an important parameter in statistical thermodynamics.
The partition function depends upon β and the way εi varies from cell to cell.
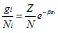
Substituting
, the M-B distribution law becomes
|
(5.145) |
It gives the most distribution of the molecules in a gas among the possible energy levels.
|
(5.146) |
Now,
|
(5.147)
(5.148) |
Thus
|
(5.149) |
Therefore,
|
(5.150) |
where
|
(5.151) |
Since
|
(5.152) (5.153)
(5.154) |
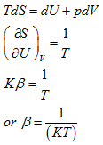
From
|
(5.155) |
The constant β is thus determined. Therefore, from Eq. (5.145)
|
(5.156) |
where
|
(5.157) |
The internal energy U of the system is
|
(5.158) |






