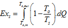
In the value diagram (Fig. 1.33) the area 1-3-4-6-1 equals the amount of heat dQ, whereas the area 1-2'-5'-6-1 equals the exergy of this amount of heat. The term
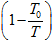
indicates which part of the considered heat can be converted into work and can in principle be converted into work and can be seen as the exergy fraction of this amount of heat. The total exergy from the secondary flow van be determined by integrating Eq.(1.271) from the inlet temperature Ts,i to the outlet temperature Ts,out
|
1.272 |
This amount of exergy equals the whole area below the temperature curve in the value diagram. Within the heat exchanger the heat dQ is transferred to the primary flow. The exergy of the heat supplied to this flow is
|
1.273 |
In the value diagram, this exergy is represented by the area 1-2-5-6-1. The area 2-2'-5'-5-2 indicates the exergy lost due to temperature difference necessary to transfer heat from the secondary to the primary flow. The total exergy absorbed by the primary flow is
|
1.274 |
where subscript p indicates the primary flow. The absorbed exergy by the primary flow equals the area below the temperature curve for this flow in the value diagram. The total exergy loss due to heat transfer, Exs - Exp, is represented by the area between the two temperature curves.
Thus,the amount of exergy as well as the exergy loss can be easily presented with the help of value diagram.

