Instability: The equilibrium point x = 0 of (2) is unstable if it is not stable.
The above condition is illustrated in Figure 3.
![]() |
Figure 3: Illustration of unstable equilibrium in two dimension
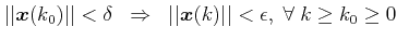
Uniform Stability: The equilibrium point x = 0 of (2) is uniformly stable if, for each ∈ > 0, there exists a
, independent of k0, such that ![]()
Uniform Asymptotic Stability: The equilibrium point x = 0 of (2) is uniformly asymptotically stable if it is uniformly stable and there is a positive constant c, independent of k0, such that for all
, x(k) → 0 as k → ∞ uniformly in k0.
Global Uniform Asymptotic Stability: The equilibrium point x = 0 of (2) is globally uniformly asymptotically stable if it is uniformly asymptotically stable for such a δ when δ(∈) can be chosen to satisfy the following condition ![]()
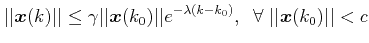
Exponential Stability: The equilibrium point x = 0 of (2) is exponentially stable if there exist positive constants c, γ and λ such that ![]()
Global Exponential Stability: The equilibrium point x = 0 of (2) is globally exponentially stable if it is exponentially stable for any initial state x(k0) .
